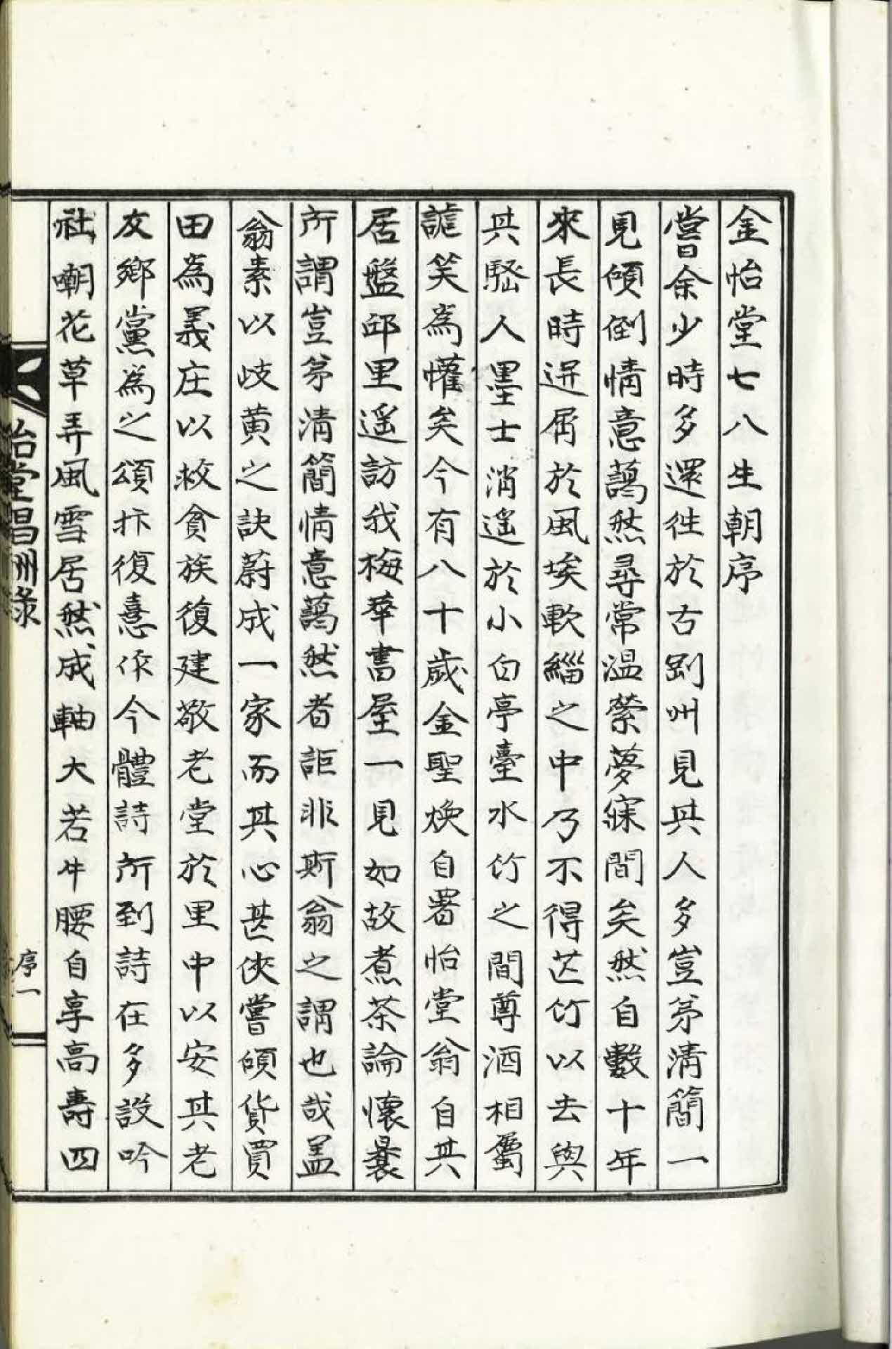
이당창수록 권일
| 기록물명 | 이당창수록 권일 | ||
|---|---|---|---|
| 기록물번호 | 105431 | 생산년도 | 연대미상 |
| 등급 | 라 | 기록형태 | 서적류 |
| 기증자 | 홍정숙 | 크기 | |
* 본 홈페이지에 게시된 게시물의 저작권은 영주문화원에 있으며, 이를 위반시 정보통신망법에 의해 처벌됨을 유념하시기 바랍니다.
본문
등급 구분 : 해제 및 전시, 언론보도 등에 활용
- 가-1 : 조선후기 ~1950년 한국 전쟁 이전, 영주지역 생산 기록물, 기관 생산
- 가-2 : 조선후기 ~1950년 한국전쟁 이전, 개인 생산
- 나-1 : 1950년 한국전쟁 ~ 1969년, 기관 생산
- 나-2 : 1950년 한국전쟁 ~ 1969년, 개인 생산
- 다-1 : 1970년 ~ 1989년, 기관 생산
- 다-2 : 1970년 ~ 1989년, 개인 생산
- 라-1 : 1990년 ~ 현재, 기관 생산
- 라-2 : 1990년 ~ 현재, 개인 생산
